Математическое предотвращение истерик

31.10.2023 10:00  11435   Комментарии (115)

- У него есть система во всём, у него даже есть система в том, как есть блины!
- А как есть блины?
- Их надо есть, начиная с нижнего, чтобы блин не остывал.

Математики - ребята такие, ушлые. Они любую гармонию поверят алгеброй. Вот тут нынче один математик сумел вычислить, как предотвратить истерику ребенка в самолете. Открытие совершенно эпохальное! Оказывается, чтобы ребенок не истерил, его, значить, нужно чем-нибудь, значить, занять. Мультик посмотреть, яблочко погрызть, музычку послушать. Полезная вещь - математика!

По расчетам специалистов Asda Money, истерика у детей случается в среднем через 27 минут и 48 секунд после взлета, а каждый эпизод длится в среднем 15 минут и шесть секунд. Хотя родителю такой промежуток времени может показаться не слишком долгим, во время полета он покажется вечностью.

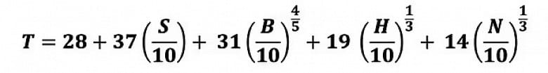
Кроуфорд использовал данные аналитиков Asda Money, добавив четыре основных раздражителя, из‑за которых дети начинают нервничать в полете: сонливость (S), скука (B), голод (H) и шум (N). Каждый из этих факторов в формуле может иметь значение от 0 до 10: 0 означает, что проблема полностью игнорируется, а 10 — успешно решается.

Если подставить все переменные в уравнение, можно высчитать время в минутах (T), через которое начнется истерика.

Ученый объяснил, что если все четыре раздражителя получат 10 баллов, родитель сможет отсрочить истерику на 129 минут. Конечно, это мало, однако полтора часа — продолжительность многих внутренних перелетов.

Помимо формулы, Кроуфорд предложил алгоритм действий родителя, необходимый для предотвращения истерики. Итак, дети во время полета должны спать 37 минут, 31 минуту смотреть мультфильмы, 19 минут кушать, а еще 14 минут слушать музыку. (Отсюда.)

31.10.2023 10:00
Комментарии 115

Короче, если вкратце: родителям должно быть не положить: 1. на своего ребёнка; 2. на окружающих. У человека, который припëрся в самолёт с младенцем, явно в пролёте оба пункта, так что математика тут бессильна.
02.11.23 10:08
0 1

британские учоные опять на высоте
31.10.23 19:10
0 0

Моя первая поездка за границу была в 1988 году с группой из 23-х детей, в качестве руководителя/учителя. Поездом Москва-София, 48 часов, плюс 6 часов опоздания. Ничего, никто не истерил. Правда, веселились ребята, как могли, и лупили подушками нашего "партийного руководителя" группы, но истерик не помню.
31.10.23 16:21
0 2

с группой из 23-х детей
Какого возраста?
31.10.23 16:39
0 0

Курить им тогда никто не запрещал? Вот и не истерили, а мирно играли с руководителем/учителем в карты под щелбаны))
31.10.23 17:09
0 2

Какого возраста?
13-15 лет, двое - 16 лет. 23 мальчика и 4 девочки. Курить не запрещал, но и не поощрял. В карты играли все вместе.
31.10.23 19:26
1 0

13-15 лет, двое - 16 лет. 23 мальчика и 4 девочки. Курить не запрещал, но и не поощрял. В карты играли все вместе.
Так это разве дети. Мы в средней школе с классом ездили в несколько многодневных экскурсий по Украине на специальных школьных поездах, в которых мы ночевали, а днём ходили по экскурсиям.
31.10.23 21:11
0 0

Представила себе истерику на 129 минут…
Я, кстати летала неоднократно с детьми, одна, с пересадками, с маленькими типа год, три и пять. Без всяких истерик
31.10.23 16:10
0 0

Гаишник останавливает машину, где сидят муж, жена и ребенок. Муж за рулем никакущий. Инспектор вытаскивает алкотестер и просит подуть. Мужик дует, алкотестер показывает наличие алкоголя.
- У вас прибор неисправный, я не пил, - возмущается мужик.
- Нет, прибор исправен, вы пили, - говорит гаишник.
- Ну вон жену мою проверьте.
Инспектор проверяет жену, прибор снова показывает наличие алкоголя.
- У вас прибор неисправен, я не пила, - кричит жена.
- Нет, прибор исправен, вы тоже пили, - говорит гаишник.
- Проверьте сына.
Инспектор проверяет сына, мальчика лет пяти. Мальчик дует в алкотестер, прибор зашкаливает.
- Странно, может и правда сломан, - чешет репу гаишник. - Ладно, езжайте.
Машина отъезжает. Муж:
- Ну вот, а ты говорила: малому не наливать, малому не наливать…
31.10.23 17:21
0 3

Как человек с дипломом, где написано "математик", скромно спрошу: "Что за число 28, и откуда оно взялось?" А, это те самые 27:48? Тогда откуда 37, 31, 19? И эти прекрасные 4/5 и 1/3? А если ребенок хочет писать и истерит, это "сонливость" или "шум"? А где раздельные оценки по мальчикам/девочкам? А учёт возраста? Учёт времени суток, когда происходит полет? А погодные условия с болтанкой, процент российских туристов на борту, модель самолёта? А вариативность показателей SBHN? Точно переход от 0 до 1 "весит" столько же, сколько от 9 до 10?
31.10.23 13:03
1 5

Клейкая лента на фабрике правых палочек тоже есть?
31.10.23 13:39
0 1

отвечу вам цитатой, как мне написали в обсуждении темы про мясо и диабет "При современном развитии БигДата, собрать все эти факторы и обработать - не проблема" (с) Так что у всех других математиков есть теперь куча работы, которой они могут занять свое время и тоже публиковаться, публиковаться, публиковаться.....
31.10.23 13:47
0 1

у всех других математиков есть теперь куча работы
Работа математика - это обосновать вид формулы, а не рассчитать её коэффициенты.
31.10.23 15:12
0 0

это обосновать вид формулы,
Тогда степень "4/5" особенно вставляет.

П.С. если фиттить к полиномиал, то ничего обосновывать не надо. Наверное.
31.10.23 15:20
0 0

Отвечу словами, которые подсказывает собственный мосх. "Чтобы иметь возможность использовать собранные данные нужно понимать, что ты собираешь, и зачем". И прочее, типа, сколько источников данных достаточно, какая точность этих источников достаточна, сколько времени нужно собирать данные и с какой частотой, сколько времени их хранить и в каком виде. Это до обработки данных ещё даже не дошли.
31.10.23 15:57
0 0

Тогда откуда 37, 31, 19?
Если про математика не только запись в дипломе - может быть, напомните, как это называется, не могу найти инфу.
Кажется, это называется "полный факторный эксперимент", но я могу ошибаться.
Если на словах: есть какой-то объект, который находится в среде из множества факторов. Прям обсуждаемый случай. Исследователь искусственно создает комбинации факторов, всех, которые может придумать (комбинации составляются из минимальных и максимальных значений факторов). Фиксирует поведение объекта (один выходной параметр) для каждой комбинации входных факторов.
И вот после такого сбора информации каким-то образом составляется уравнение, подобное этому, про истерику.
При тех членах, которые описывают несущественные факторы, весовые коэффициенты будут стремиться к нулю. Так мы узнаем, что, например, время суток или пол ребенка на время до истерики не влияет, или этим влиянием можно пренебречь.
Буду благодарен за ссылку, или хотя бы корректное название этой вот лабуды.
01.11.23 06:06
0 0

Это называется "идентификация систем". Хотя бы древняя книжка Эйкхоффа. Или "обратные задачи".
Когда нужно не подсчитать y по известным x и f. И не найти x, удовлетворяющее y=f(x). А когда нужно найти саму f.
Обычно есть два варианта: найти коэффициенты для уже известной f; найти из каких-то соображений общий вид функции (полином, сумма/ряд, тригонометрическая сумма и тд) и ее коэффициенты/параметры.
В физике так можно определить зависимость между величинами, исходя из их размерностей (то же E=mc²). Но ни в какой физической, химической или социологической формуле не встречается показатель 4/5. Он просто не имеет смысла в реальной жизни.
01.11.23 19:00
0 0

Спасибо, теперь есть, куда искать)

Да, я не пытался выступить за справедливость обсуждаемой формулы - мне тоже показатели степени не понравились. Трудно представить рассуждение, которое привело бы исследователя к таким значениям. Тем более в ситуации, когда параметр измерить невозможно. То есть, время до начала истерики засечь реально (и то, с оговорками, истерика - не светодиод). А вот уровень сонливости или голода - очень субъективно.

Я эту задачу (нахождение f) помню из институтского курса. Нужно было определить зависимость коэффициента усиления от факторов среды, в которой работает усилитель. Плату надо было помещать в печку/холодильник с максимальной/минимальной температурой, потом в магнитное поле, тоже - мин/макс, и т.д. С этим всё понятно. Но вот потом - была какая-то методика определения весовых коэффициентов для каждого параметра. Вот это напрочь забылось. А самое главное - вид каждого члена этого многочлена.

Поскольку я не математик, а инженер, методика меня восхитила впоследствии, а на тот момент - ну сдал зачет, и ладушки.
02.11.23 06:43
0 0

Оффтоп, возвращаясь к теме "Цыгановы у Дудя". Интересный разбор интервью с т.з. психологии .
31.10.23 12:42
0 0

"дети должны спать 37 минут"

Ребёнок, спи - ать-два!
31.10.23 12:18
0 1

дети должны спать 37 минут
Вообще, насколько я помню, у ребенка один цикл крепкого сна примерно 40 минут и длится. Если его ничего не беспокоит, то он может потом уйти на второй круг. Если есть посторонние шумы, дискомфорт и т.д., то он только 40 минут и поспит.
31.10.23 12:31
0 0

Был у меня начальник отдела в штабе (погранвойска), свято верил, что математика решает все вопросы. Однажды написал огромную формулу для рассчёта плотности охраны участка заставы, учитывающую все на свете: статистику задержаний за прошлые периоды, количество населенных пунктов в непосредственной близости от границы, возраст начальника заставы, обеспеченность транспортом и многое, многое другое. Представил в паверпойнте, оформил научной работой, был с докладами в верхах и в конце ещё и опубликовали в ведомственной газете. Через полгода ушел в глубочайшую депрессию. Перепроверял её и сам же выяснил, что формула возвращает то ли отрицательное число, то ли какие-то фантастические тысячи людей на километр, что означало, что до этого его opus magnum так никто и не использовал. Напомнило.
31.10.23 12:16
0 3

Старая история ещё советских времён, когда болгарские учёные пытались понять, почему в одной деревне, в паре часов езды от Софии, рождаемость в два раза выше, чем в среднем по стране. И почву исследовали, и воздух, и воду в реке, и продукты питания...
Но как-то, сильно погуляв на местной свадьбе, не поехали домой в столицу, а остались ночевать. И тут выяснилось, что деревня стоит на холме, под которым проложен железнодорожный тоннель, где ровно в два часа ночи проходит экспресс, вызывая лёгкое землетрясение. А чем ещё заняться простому крестьянину в теплой постели, когда его будят?
31.10.23 13:14
0 3

Веерные отключения электричества имели сходный эффект.
31.10.23 13:34
0 0

Ночью или вечером после ужина, когда и телевизор не посмотришь.
31.10.23 16:03
0 0

ровно в два часа ночи проходит экспресс, вызывая лёгкое землетрясение. А чем ещё заняться простому крестьянину в теплой постели, когда его будят?
Красивая рассказка, но по собственному опыту могу сказать, что к таким мелочам быстро привыкаешь. Более того, без них еще становится тяжелее заснуть.
31.10.23 18:53
0 1

Верю. Когда на улице перестают ездить машины, то не могу уснуть.
01.11.23 18:38
0 0

Более того, без них еще становится тяжелее заснуть.
И даже больше. Много-много лет назад жил метров за 500 от грузового двора ЖД, соответственно очень много соседей там работали. В одну прекрасную ночь выдалась пауза в звуках маневровых на полчаса, просто так случайно совпало. На двадцатой минуте тишины на грузовом дворе была половина города - люди подумали, что случилась авария, а там работали мужья-сыновья-друзья-коллеги. 😄

ЗЫ. Кстати, хотя я уже не живу там тридцать лет, звуки железной дороги (любые) для меня ни разу не помеха для сна.
02.11.23 04:11
0 0

Оказывается, чтобы ребенок не истерил, его, значить, нужно чем-нибудь, значить, занять.
Ой, замолоть! (c) бородатый анекдот
А для депутатов так можно?
31.10.23 12:04
0 0

Садясь в кресло, сразу пристегиваюсь, надеваю строительные наушники 3М, и надвигаю капюшон. Летал так с (чужими) детьми со всех сторон, никаких проблем
31.10.23 12:02
0 4

Хм. Пробовал похожую схему, но мне с наушниками не повезло. Они голосовой диапазон пропускали неплохо, блокировали высокие и низкие частоты только.
31.10.23 16:15
0 2

Летал так с (чужими) детьми со всех сторон, никаких проблем
А как наушники защищают от пинков в спинку сиденья?

Не говоря уже о том, что на взлете и посадке вас бы попросили их снять.
31.10.23 16:42
0 3

Как только уходят и садятся на стюардное седалище, надевал обратно. Пинки это проблема, да.
31.10.23 19:50
0 1

Мои наушники -- просто строительные чашки с поролоном. Они всё блокируют. У жены "крутые" БОЗЕ с шумодавом, и они только самолёт давят; голоса и визг прекрасно слышно.
01.11.23 15:12
0 0

родитель сможет отсрочить истерику на 129 минут. Конечно, это мало, однако полтора часа
А Вы точно математик? (с)
ps. Ну либо писать, что отсрочить истерику не "на", а "до" 129 минут (вместо 27) ))
31.10.23 11:40
0 8

"Британским учёным удалось возвести в квадрат, а затем извлечь корень квадратный из бесконечности!"
©
31.10.23 11:18
0 3

А если возвести в куб, а потом извлечь кубический корень? Нужны новые ассигнования, иначе никак.
31.10.23 13:17
0 0

возвести в квадрат, а затем извлечь корень квадратный
Ноуп. Извекли корень пятой степени, а потом возвели в четвертую. Посмотри ж на формулу. 😄
31.10.23 15:21
0 0

ассигнования
as in "variable was assigned to..."?
31.10.23 15:21
0 0

лет 20 назад летели с кубы. я еще на регистрации приметил пару неадекватных семеек с детшиками и уведомил супругу, что перелет намечается непростой и надо эктра сотку баксов на вискарь )).
так и получилось. меня спасла как раз та самая 0,7 а жена мучалась от криков детишек. в итоге я проспал в среднем ряду (3-4-3 вроде было) (747й, как раз на вытянутые ноги подходит для моего роста) на полу.
31.10.23 11:08
2 1

Наушники дешевле, чем вискарь.
31.10.23 11:40
0 2

Наушники дешевле, чем вискарь.
Зато вискарь надежнее 😉
Ну и с наушниками ещё надо иметь, что слушать, а вискарь - он самодостаточный.
31.10.23 11:55
1 1

Ноуп, наушники -- ear muffs -- просто как блокираторы звука. Под них музыка не обязательна.
31.10.23 12:04
2 1

Ноуп, наушники -- ear muffs -- просто как блокираторы звука. Под них музыка не обязательна.
Ещё немножко - и ты предложишь кляп ребенку, как ещё более выгодное средство 😄
31.10.23 12:29
0 6

Ещё немножко - и ты предложишь кляп ребенку, как ещё более выгодное средство 😄
Гхм. А зачем, на ваш взгляд, люди придумали соску?
31.10.23 12:38
0 6

Ребёнок не мой, так что условный кляп в органы чувств -- только себе можно.

Правило, выработанное после жизни в семье алкоголиков -- алкоголь пить только когда хорошо. 😄. И на природе.
31.10.23 12:42
0 3

Сколько ограничений... 😉
31.10.23 12:55
0 1

Не говори...
31.10.23 13:05
0 1

И на природе
Можно просто на свежем воздухе, скажем, на балконе в тихом районе.
Но, главное, не курить. Эти штуки и по отдельности зло, но вместе - зло в квадрате.
31.10.23 13:19
0 1

и по отдельности зло,
Eсли не добоширить, то от распития на балконе соседям вреда нет. В отличие от раскуривания.
31.10.23 14:02
0 0

Eсли не добоширить...
31.10.23 14:16
0 2

Боширов додобоширился.
31.10.23 14:29
0 1

31.10.23 14:48
0 2

Так известно же: алкоголь усиливает то эмоциональное состояние, которое было в момент его приема. Поэтому, да: только когда хорошо.
31.10.23 23:17
0 1

И вот это теперь называется "факторным анализом".
🤦‍♂️делают те, кто помнит, что такое настоящий факторный анализ.
31.10.23 11:03
0 0

Ты тут эта, факами не разбрасывайся.
31.10.23 13:29
0 4

Сперва мандаты под раздачу попали, теперь факты... Вам не угодишь!
01.11.23 05:36
0 0

Спасибо, что напомнил про "анализ".
01.11.23 18:33
0 0

- У него есть система во всём, у него даже есть система в том, как есть блины!
- А как есть блины?
- Их надо есть, начиная с нижнего, чтобы блин не остывал.
По-правильному надо было есть через один, начиная с нижнего. )))
31.10.23 11:00
0 1

По-правильному надо было есть через один, начиная с нижнего. )))
По правильному надо есть каждый раз один блин; не спеша, дав горничной время полить его растопленным сливочным маслом, положив немного сметаны, сверху, на выбор, икра или селёдка, солёные грузди или малиновое варенье. Перед тем тщательно выбрав среди графинов нужную водку - анисовую, на рябине, на клюкве...
И, доедая, кивнуть, чтобы пока дочавкиваешь, кухарка успела испечь следующий блин.
И чтобы было время подумать о чeм-то возвышенном.
31.10.23 12:32
0 6

Абсолютно верно. Но если все же борешься со стопкой блинов, то не забывать ее переворачивать. Ибо скорость остывания нижнего нелинейно зависит от числа уложенных на него сверху.
31.10.23 13:22
0 0

И чтобы было время подумать о чeм-то возвышенном.
О чём-то возвышенном будет время подумать позже, когда немного сметаны с селёдкой подействуют...
31.10.23 14:32
0 2

По правильному надо есть каждый раз один блин; не спеша, дав горничной время полить его растопленным сливочным маслом, положив немного сметаны, сверху, на выбор, икра или селёдка, солёные грузди или малиновое варенье. Перед тем тщательно выбрав среди графинов нужную водку - анисовую, на рябине, на клюкве...И, доедая, кивнуть, чтобы пока дочавкиваешь, кухарка успела испечь следующий блин.И чтобы было время подумать о чeм-то возвышенном.
"но тут его хватил апоплексический удар" (С)
31.10.23 15:34
0 3

Ничего страшного, у нас на двоих с женой в доме два санузла 😄
31.10.23 18:24
0 1

Я хотел добавить эту цитату, но решил, что кто-то же должен её вспомнить 😄
31.10.23 18:25
0 2

Мы можем, значить, наблюдать в реальном времени эффект, значить, Даннинга-Крюгера у записных остряков сайта.
31.10.23 10:54
2 3

Из старого
"Самолет попадает в болтанку.
Стюардесса:
"Так, прекратить панику, хватит орать, сели по местам, ты куда блюешь, чудо - есть же пакетики, пристегнулись, как дети прям! Успокоились? Точно??
Ну вот, молодцы, теперь пойду успокою пассажиров.""
31.10.23 10:47
0 16

31.10.23 11:00
0 7

Про "успокоить пассажиров" знаю два очень циничных анекдота...
31.10.23 23:23
0 0

Типа:
Когда самолёт вошёл в зону сильной турбулентности, стюардесса попыталась успокоить пассажиров, но из-за её спины предательски выглядывал парашют.
01.11.23 05:20
0 1

Вообще что только не посчитано в этом мире.
31.10.23 10:46
2 1

31.10.23 10:30
0 11

31.10.23 10:35
0 2

Это неправильное объяснение, насколько я знаю.
31.10.23 10:41
0 1

Не, это шутка из моего детства, нынешние дети, после Ютьюба, уточнят что это гидрооксиды железа, причем 3 а не 2.
31.10.23 10:45
0 2

Вот к яблоку надо придраться, а со вздохом всё нормально было, да? 😄
31.10.23 10:50
0 4

уточнят что это гидрооксиды железа, причем 3 а не 2
Полифенолы. Прям вот всё забудь и не шути больше из-за этих ваших Ютубов...
31.10.23 10:51
0 1

Вот к яблоку надо придраться, а со вздохом всё нормально было, да? 😄
Ну, теперь зато знаем, что биохимиков в чате больше, чем нейрофизиологов!
31.10.23 10:52
0 1

Ну раз пошли такие анекдоты..

Дочка первоклассница спрашивает у отца математика, как написать восьмёрку. "Это очень просто, доченька - поверни знак бесконечности на угол Пи пополам"
31.10.23 11:09
0 4

Это неправильное объяснение, насколько я знаю.
- Папа, а ты с кем сейчас разговаривал? Это неправильное объяснение, насколько я знаю. Яблоко становится коричневым из-за окисления фермента полифенилоксидазы с кислородом воздуха, что приводит к образованию бурых пигментов, таких как меланин.

з.ы. Последнее - это я не химик, а нагуглил, так что может вообще быть левым.
31.10.23 11:35
0 2

Жена может и сама себе купить платье, ей не обязательно вздыхать. Кроме как в сценарии "я плачУ и плАчу". 😄
31.10.23 14:03
0 1

Жена может и сама себе купить платье, ей не обязательно вздыхать. Кроме как в сценарии "я плачУ и плАчу". 😄
Так и есть, это ж не восемнадцатый век. Я тоже много чего мог бы самому себе купить, а вместо этого вздыхаю, и не потому что кто-то мои деньги зажал, а потому что жаба.
31.10.23 14:54
0 2

а потому что жаба.
я "лишние" деньги жене перевожу, типа, "savings account". Нет денег >>> нет проблем 😄.
31.10.23 14:56
0 1

Жена может и сама себе купить платье, ей не обязательно вздыхать.
а кто сказал, что это жена? 😄
31.10.23 15:30
0 0

у неё написано "эх".
31.10.23 16:22
0 1

Подпись под фотографией холма в одном из географических учебников: "Препарированная эрозией эртрузия."
31.10.23 17:19
0 1

Мне одна клиентка так сказала, когда я ответил на ее вопрос "а что у нас случилось?".

"А с кем вы сейчас разговаривали? Просто сделайте, чтобы у нас все работало..." (с)
31.10.23 23:25
0 0

- "Сделайте, чтобы работало" - это к хирургу. А я патологоанатом, у меня "что случилось"... 😄
01.11.23 05:17
0 0

истерика у детей случается в среднем через 27 минут и 48 секунд
Но по формуле T>=28. А среднее не может быть меньше минимального.
И отсрочить можно максимум на 111 минут, а не 129.
Bug
31.10.23 10:26
0 0

Все уже готовы доверить свои деньги Asda Money?
31.10.23 10:20
1 1

"Вы в корзине воздушного шара".
31.10.23 10:14
1 3

недоразвитое среднее ухо и недоразвитые родители почему в списке причин не указаны?!
31.10.23 10:06
2 1

Каждый из этих факторов в формуле может иметь значение от 0 до 10: 0 означает, что проблема полностью игнорируется, а 10 — успешно решается.
Ученый объяснил, что если все четыре раздражителя получат 10 баллов, родитель сможет отсрочить истерику на 129 минут.
То есть он "доказал", что истерика неизбежна?

То есть он "доказал", что истерика неизбежна?
Там же дальше продолжение: "Конечно, это мало, однако полтора часа — продолжительность многих внутренних перелетов."
То есть если рейс меньше 129 минут, то истерика избежна.

То есть если рейс меньше 129 минут, то истерика избежна.
Только дольше, а не меньше 😄
А так всё правильно (с)
Bug
31.10.23 10:30
0 0

Только дольше, а не меньше 😄
Если дольше 129 минут, то неизбежна. Если не дольше, то избежна.
31.10.23 10:36
0 6

А что делать если ребенок не истерит? 😄
31.10.23 10:05
0 5

А что делать если ребенок не истерит? 😄
такого не может быть! вы что воспитываете своего ребенка?! наверняка еще и ЗАПРЕЩАЕТЕ ему что-то?! ЭТО АБЬЮЗ!!!
/сарказм
31.10.23 10:09
0 6

Ну не воспитанием, но дрессировкой, это абьюзом не считается? 😄
31.10.23 10:12
0 0

Следовать алгоритму (спать 37 минут, 31 минуту смотреть мультфильмы, 19 минут кушать, 14 минут слушать музыку), пока не начнёт.
И тогда - решить проблему предложенным способом.
31.10.23 10:21
0 0

А если он не истерить, но хочет везде залезть, всюду побегать и всё разобрать?
Тут уж что лучше.
31.10.23 10:31
0 0

Тогда вам луче детей не заводить 😄
Ну или на вечную ссылку к бабушке.
31.10.23 10:34
1 0

Элементарно. Заставить его истерить, и задача сведется к предыдущей решенной.-)
31.10.23 10:37
0 9

Элементарно. Заставить его истерить, и задача сведется к предыдущей решенной.-)
А если ему понравится? не... я как ни будь по старинке, без истерик и математики 😄
31.10.23 10:39
0 0

А что делать если ребенок не истерит? 😄
"Если дети подозрительно притихли, значит скоро заорёт кот".
31.10.23 10:55
0 12

Именно так маман меня и воспитывала. Люди, по её словам, очень дивились тренированностью питомца в транспорте.
31.10.23 12:51
0 1

"- Как вам удалось воспитать такого замечательного ребенка?

- Все просто: угрозы, шантаж, подкуп..." (с)
31.10.23 23:28
0 1

А вы в теме...
31.10.23 23:29
0 0

Мама. Мама! МатеМАМА-А-А!!!
31.10.23 10:02
2 1

- Мамаша, купите ребенку арбуз, он и поест и попьет!
Хотя нет, это про поезд... 😄
31.10.23 10:08
0 5

Помню в свое время, до появления биотуалетов, хорошим тоном у проводниц считалось закрыть туалет минут за сорок до прибытия, а то и за час, и вот тогда арбуз становился действительно интересным решением 😄
31.10.23 10:24
0 3

до появления биотуалетов,
В РФ в поездах дальнего следования теперь биотуалеты? Помнится, "прям так" какашки выбрасывались на насыпь.
31.10.23 15:23
0 3

В "Сапсане" так точно. Шутки про лом в очко на полном ходу так уже и перестанут понимать скоро...
31.10.23 16:19
0 1

На полном ходу - конечно нет. А вот история про незакрытый на станции туалет и бодрящий горячий лом на ночном полустанке - правда. Был знаком с теми стройотрядовцами.
Причём горячий лом не в смысле hot, а разогретый в печке, потому что иначе канализацию не пробить.
31.10.23 18:39
0 2
Теги
Сортировать по алфавиту или записям
BLM 21
Calella 147
exler.ru 319
авто 482
видео 4383
вино 363